
安全有效处理放射性气体同位素对核燃料回收至关重要。在核燃料处理过程中,必须捕获并分离85Kr和137Xe等裂变产物。85Kr的半衰期长(约10.8年),必须封存填埋;而137Xe是相对安全的(半衰期约36.3天),有较高的经济价值(约$5000/kg),值得被捕集再利用。为了从核废气中分离Xe和Kr,研究者们重点研究了低温精馏,氟碳溶剂吸收和多孔材料吸附。然而,低温精馏是能源密集型过程,精馏过程中臭氧的积累会带来安全风险。氟碳溶剂例如氟利昂-12,它的吸收过程需要复杂的工程控制,还会产生温室气体排放。
利用纳米孔吸附剂对Xe/Kr进行选择性吸附是一种低能耗、操作简便的工艺。功能化多孔材料,例如金属有机骨架材料(MOF)受到广泛研究。由于MOF材料均匀的孔径和可调控的孔化学性质,它具有良好的Xe/Kr选择性。然而,MOF材料在高温、高湿、高辐照条件下的稳定性是其致命弱点,在多种放射性组分以及酸性气体(如NOx、HNO3)共存的条件下,它的性能会下降。除了MOF以外,通过共价键连接的多孔聚合物具有良好的化学和热稳定性,适用于恶劣工况下的Xe/Kr分离。然而,由于其对惰性Xe和Kr气体(Xe的极化率为4.04×10-24cm-3, Kr的极化率为2.48×10-24cm-3)的极化作用较弱,导致Xe的吸附容量和选择性较低,因此多孔有机聚合物的Xe/Kr吸附分离效率仍有待提高。
厕所偷拍
厕所偷拍
马和平研究员团队通过在微孔聚合物孔表面修饰过渡金属离子,增强其对Xe/Kr的诱导极化能力,从而实现其高效吸附分离。研究中采用基于1,3,5-三苯基苯为单体的超交联聚合物(HCP)作为多孔基体。HCP被磺酸化后(HCP-S),选择Ag、Fe、Co和Ni离子进行修饰(HCP-M),在HCP孔道形成表面电势。DFT计算证实HCP-M表面金属位点可以通过电荷转移效应诱导Xe的极化。此外,金属离子修饰后的HCP-M的具有超微孔结构(孔径小于0.7 nm),与Xe的动力学直径比较接近。因此,表面电场极化和孔径约束的协同效应使HCP-M表现出较高的Xe吸附性能。

图1HCP和HCP-M的合成示意图。

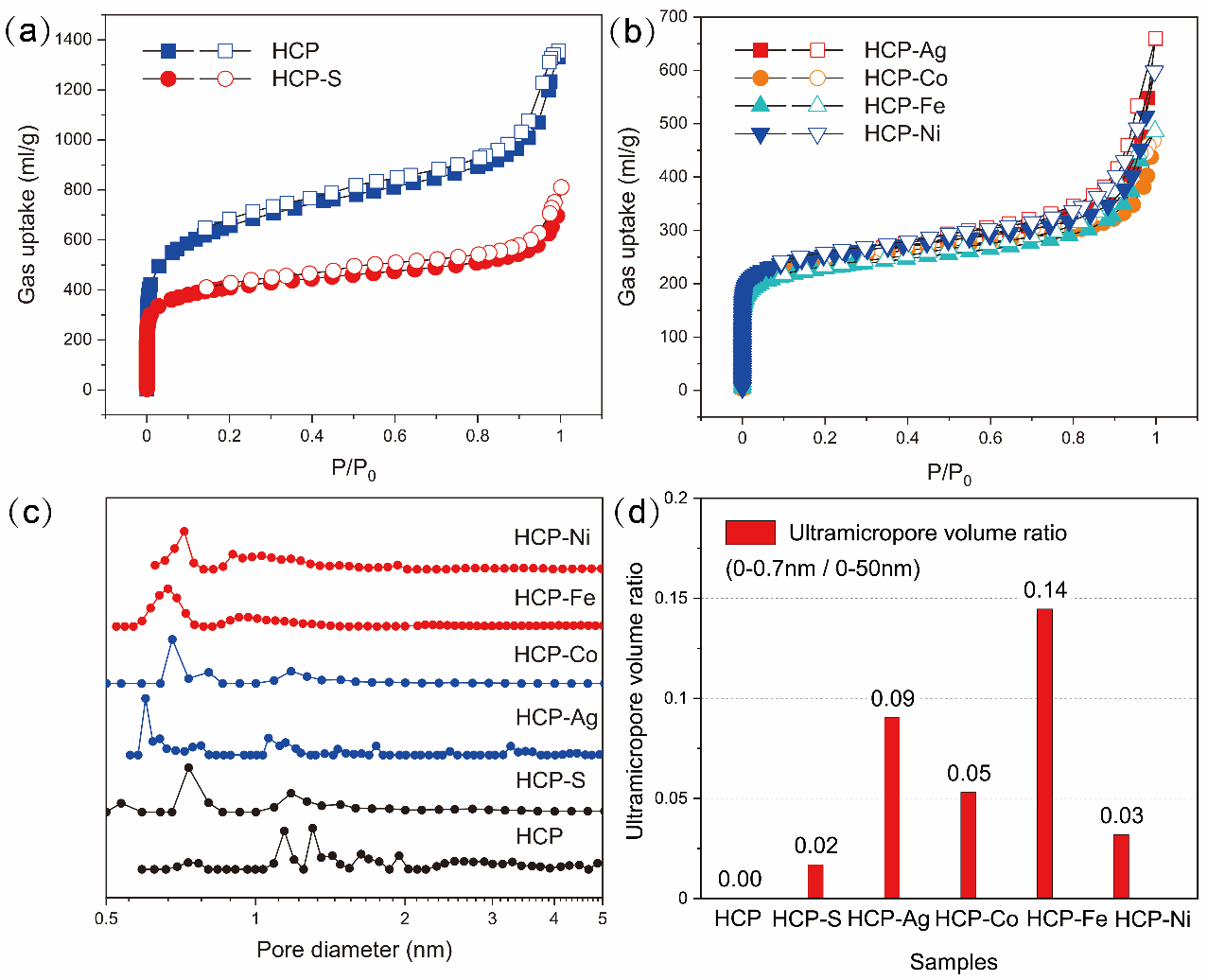
图2HCP和HCP-M的77k N2吸附等温线(a-b)、HCP系列样品的孔径分布(c)和孔径在0-0.7nm/0-50nm的孔体积比率(d)。
研究中采用“逐步升温聚合、氯磺酸处理、金属离子交换”的顺序制备了金属化的微孔聚合物材料(HCP-M,如图1所示)。通过PXRD、FT-IR、XPS、ICP-MS、TGA、有机元素分析等手段对聚合物的成分与结构特性进行了表征。数据表明,HCP-M表现出典型的无规聚合物特征,具有良好的热稳定性,且成功修饰了磺酸基团和金属离子。通过77k N2吸附等温线对样品的微孔特性进行了分析,HCP磺化后的BET比表面积从2153.07 m2/g下降到1242.47 m2/g,而HCP-M进一步减小到730.93-776 m2/g。通过NLDFT模型得到的HCP系列材料的孔径分布,数据显示HCP在磺酸化和金属化后的超微孔变多,孔道变狭窄(图2c-d)。该变化有益于增强对Xe分子的亲和力。

图3DFT计算得到的HCP-M吸附结构和静电势分布:Xe(a-g)、Kr(h-n)。

图4HCP-M的电荷密度差图和局部积分曲线:Xe(a-f)和Kr(g-l)。
金属离子的引入可以调节HCP材料的表面静电势(ESP)。通过DFT计算得到HCP、HCP-S和HCP-M的ESP和电荷密度差数据(图3和图4)。当Xe靠近HCP-M的金属位点时,Xe原子的范德华表面显示出正的静电势(图3d-g),表明了金属离子对Xe的极化作用,该作用使得材料与Xe之间产生了较强的诱导力,原因主要是由于过渡金属不饱和d轨道以及Xe的高极化率。CHELPG原子电荷分析也表明了电子从Xe转移到金属位点上,极化的Xe原子呈现正电荷,电荷值为0.035-0.143。通过电荷密度差分析,发现Xe原子与HCP-M结合时,电子密度发生了明显变化,金属离子的电子密度增大,而Xe的电子密度降低(图4)。结合原子电荷数据计算得到了Xe和Kr的感应能Φp,结果表明HCP-M与Xe有更强的“诱导-偶极”相互作用,说明了金属离子对Xe的选择性吸附。

图5HCP-M的IAST选择性:20/80的Xe/Kr(a-b),1/99 Xe/N2(c)和0.5%Xe、0.05%Kr、99.45% N2的三元混合物(d)。
HCP-M对Xe和Kr具有良好的吸附-分离效果。金属修饰后,HCP-M的Xe吸附量与选择性都得到了增强。HCP-Ag、Co、Fe、Ni的Xe吸附量分别为76.26、66.47、59.02和68.42 cm3/cm3。HCP-M对Xe的吸附热比Kr要大得多,说明HCP-M对Xe有很强的亲和力。HCP-M对20/80的Xe/Kr混合物的IAST选择性分别为7.16-8.90(图5),能够与Ni-MOF-74[9]、HKUST-1[10]、MIL-101(Cr)[11]、Uio-66(Zr)[11]、UTSA-49[12]和PCN-14[10]等材料比肩。此外,基于乏燃料裂解气的三元混合气(Xe:Kr:N2= 0.5%:0.05%:99.45%),其Xe/Kr选择性为9.34-16.20。以上数据表明HCP-M对Xe和Kr的分离是有效的。

图6HCP-Ni的循环性能(a)、穿透曲线(b)和解吸曲线(c-f)。
以HCP-Ni为代表,HCP-M材料对Xe具有良好的吸附动力学参数。HCP对Xe和Kr的吸附量-时间的曲线。HCP-M对Xe的最大吸附速率高达20.45-47.19 cm3/(cm3·s),而对Kr仅有9.45-17.38 cm3/(cm3·s),Xe和Kr吸附动力学的差异说明了HCP-M能在动态条件下高效的分离Xe/Kr。通过测试Xe/Kr吸附循环性能和固定床穿透曲线来评价HCP-M在实际分离过程中的可行性。经过6次循环,HCP-Ni对Xe和Kr的吸收没有明显下降,说明吸附剂的再生能力较好。在穿透曲线测试中,Kr均很快穿透,而Xe在吸附柱中能够保持超过150~350 s/cm3,直到吸附剂达到饱和(图6)。HCP-Ag、HCP-Co、HCP-Fe和HCP-Ni的动态吸附量分别为359.30、817.41、908.16和753.43 mmol kg-1。在室温下用He吹扫后,HCP-M柱得到了较好的再生(如图6c-f所示),这得益于HCP-M材料温和的吸附热。综上所述,基于简单快捷的合成过程、优异的稳定性和良好的分离性能,HCP-M有望作为一种高效的Xe/Kr吸附剂,为放射性气体同位素的吸附分离提供技术参考。
该研究成果以“Tuning surface inductive electric field in microporous organic polymers for Xe/Kr separation”《微孔有机聚合物吸附相界面电场调控用于高效Xe/Kr分离》为题发表于国际期刊Chemical Engineering Journal(化学工程杂志)上,影响因子13.27。厕所偷拍
为本文的唯一单位,博士生伍岳为论文第一作者,马和平研究员为唯一通讯作者。该工作得到了国家自然科学基金、陕西省自然科学基础研究计划等项目的资助,厕所偷拍
大学分测中心提供了大量测试表征支持。
论文链接://doi.org/10.1016/j.cej.2021.131271